Vận động góc xảy ra khi tất cả các phần của một vật di chuyển cùng một góc nhưng không dịch chuyển thẳng như nhau. Môn chuyển động học nghiên cứu vận động góc gọi là chuyển động học góc, mô tả vận động góc mà không tính đến nguyên nhân của vận động. Ví dụ vận động của một bánh xe quanh trục.
XEM LẠI: SINH CƠ HỌC: CHUYỂN ĐỘNG HỌC THẲNG
Hầu hết các vận động của người đều có liên quan đến sự quay của các phân đoạn của cơ thể với các khớp tạo trục quay. Ví dụ phân đoạn cẳng tay quay quanh khớp khuỷu trong động tác gấp và duỗi khuỷu. Khi ta di chuyển, thường thì các phân đoạn vừa xoay vừa dịch chuyển. Sự kết hợp liên tục của các vận động góc của nhiều phân đoạn có thể dẫn đến vận động thẳng của điểm cuối của phân đoạn được thấy trong động tác ném và nhiều vận động khác khi mà vận tốc điểm cuối là quan trọng.
CÁC THUẬT NGỮ MÔ TẢ CHUYỂN ĐỘNG HỌC GÓC
Vị trí và độ dời góc
- Vị trí góc (ký hiệu θ):
Vị trí góc của một vật thể liên quan đến vị trí của nó tương đối với một hệ tọa độ không gian xác định.
Để mô tả vị trí góc, ta có thể sử dụng ba mặt phẳng (3D). Với một hệ tọa độ 3D ở khớp vai, trục y dương là hướng lên, trục x dương là từ sau ra trước, trục z dương là từ trong ra ngoài. Các vận động khớp dương tương ứng quanh các trục này là gấp/duỗi, xoay trong/xoay ngoài, dạng/khép. Hệ thống này phù hợp để mô tả các góc khớp nhưng thiếu chính xác khi mô tả những vận động phức tạp. Trong sinh cơ học, người ta thường sử dụng góc tuyệt đối tương ứng với một hệ tọa độ cố định trong môi trường.
Vị trí góc của một điểm được xác định bởi khoảng cách (bán kính) so với điểm gốc, và góc giữa trục đã chọn và đường thẳng tạo nên bởi điểm đã cho đến điểm gốc. Ví dụ điểm cách trục 7 m với một góc 55° trên trục tham chiếu.

- Góc tương đối và tuyệt đối
- Góc tương đối:
- góc được tạo bởi hai phân đoạn cơ thể gần nhau
- Tư thế tham chiếu giải phẫu- các góc tương đối là zero
- Sử dụng trong đo tầm vận động khớp
- Góc tuyệt đối:
- hướng góc của một phân đoạn cơ thể so với một đường tham chiếu cố định
- Tham chiếu ngang
- Tham chiếu dọc
- Sử dụng trong phân tích vận động (video)
- Độ dời góc (Δθ)
Độ dời góc là sự khác nhau giữa vị trí góc ban đầu và cuối cùng của vật thể xoay. Hướng xoay ngược chiều kim đồng hồ là dương, thuận chiều kim đồng hồ là âm.
Độ dời hoặc quãng đường góc thường được biểu diễn theo đơn vị độ. Tương tự, vận tốc góc và gia tốc góc thường được biểu diễn theo đơn vị độ/giây (°/s) và độ/giây bình phương (°/s2). Một đơn vị khác thường được sử dụng trong sinh cơ học là radian. Radian được định nghĩa là đơn vị đo góc bằng một cung bằng với chiều dài của bán kính đường tròn.

Một radian tương đương với 57.3°. Để chuyển một góc theo độ thành radian, ta chia góc với 57.3.
Nếu góc tuyệt đối của một phân đoạn, theta (θ), được tính với các vị trí liên tiếp theo thời gian, thì độ dời góc (Δθ) bằng:
Δθ = θ cuối – θ đầu
Hình . Quãng đường góc và độ dời góc. “Cánh tay” AB xoay theo chiều kim đồng hồ được 3150 (quãng đường góc là 3150). Độ dời góc ở đây là 450 ngược chiều kim đồng hồ. Tuy nhiên để giá trị tính vận tốc góc, ta phải lấy quãng đường góc đi được (ở đây là 3150) chia cho thời gian.
Tốc độ góc và vận tốc góc
Tốc độ góc và vận tốc góc tương tự với tốc độ và vận tốc chuyển động thẳng về ý nghĩa và định nghĩa.
- Vận tốc góc (ký hiệu ω)
Vận tốc góc (ký hiệu ω) là các vector có hướng được xác định theo quy luật bàn tay phải, có giá trị bằng độ dời góc chia cho thời gian vận động xảy ra.
Hình. Quy luật bàn tay phải để xác định dấu của vận tốc góc của diễn viên trượt băng khi xoay. Các ngón của bàn tay phải chỉ theo hướng xoay, và ngón cái chỉ hướng của vector vận tốc góc. Vector vận tốc góc vuông góc với mặt phẳng xoay.
Ví dụ tính vận tốc góc của bài tập duỗi gối. Bệnh nhân duỗi gối, đưa chân từ gập 900 (thẳng đứng) đến giữa tầm vận động.

Nếu chúng ta đo góc của cẳng chân, ta thấy bệnh nhân đã di chuyển cẳng chân được 40º trong thời gian 0,5 giây. Vận tốc góc duỗi gối trung bình trong trường hợp này là:
ω =θ/t = 400/0,5s = 80 0/s.
Vận tốc góc là dương bởi vì động tác xoay ngược chiều kim đồng hồ. Như vậy vận tốc góc trung bình của động tác duỗi gối trong khoảng thời gian nửa giây là 80º/s.
Lưu ý là vận tốc góc duỗi gối tối đa trong bài tập này có thể xảy ra ở giữa tầm vận động, và sau đó vận tốc duỗi gối phải chậm dần đến zero vào cuối tầm vận động.
Gia tốc góc
Gia tốc góc là tốc độ thay đổi vận tốc góc theo thời gian và được biểu diễn bằng chữ anpha (α).
Gia tốc góc = thay đổi của vận tốc góc/thay đổi thời gian
α=
Đơn vị: độ/giây bình phương (deg/s2), hoặc radian/ giây bình phương (rad/s2).
Đồ thị chuyển động học góc đem lại những thông tin rất hữu ích để mô tả sự vận động.
Hình sau mô tả đồ thị sự dịch chuyển góc và vận tốc góc của động tác duỗi và gập khuỷu ở mặt phẳng đứng dọc của một sinh viên vươn tay lấy một cuốn sách. Dữ liệu dịch chuyển góc cho thấy khớp khuỷu duỗi (dịch chuyển góc dương) từ khoảng 37º đến khoảng 146º để nắm cuốn sách. Vận động duỗi mất khoảng 0,6 giây. Sau đó khuỷu gập lại nhưng với vận tốc chậm hơn nhiều.
Đồ thị vận tốc góc–thời gian tương ứng biểu diễn tốc độ duỗi (dương) hoặc tốc độ gập (âm). Vận tốc góc duỗi khuỷu đạt tối đa khoảng 3000/s (vào giây 0.27) và dần dần chậm lại.
Vận tốc gập khuỷu tăng và giảm chậm hơn duỗi khuỷu. Gia tốc là độ dốc trong đồ thị vận tốc.
Hãy nhìn đồ thị vận tốc góc và ghi nhận các giai đoạn thay đổi vận tốc (gia tốc). Các vận động bắt đầu bằng gia tốc dương (tăng tốc). Giai đoạn 2 là gia tốc âm (đồ thị đi xuống) đầu tiên làm chậm duỗi khuỷu và sau đó bắt đầu gập khuỷu. Giai đoạn ba là gia tốc góc dương nhỏ làm chậm gập khuỷu khi sách đến gần đầu. Ba giai đoạn gia tốc góc này tương ứng với hoạt động cơ điển hình trong vận động này. Vận động này thường sẽ tạo ra mẫu ba giai đoạn của các cơ duỗi khuỷu, gập và duỗi.

MỐI LIÊN HỆ GIỮA CHUYỂN ĐỘNG THẲNG VÀ CHUYỂN ĐỘNG GÓC
Trong nhiều vận động, trong khi kết quả của vận động là chuyển động thẳng thì vận động của các phân đoạn là chuyển động góc. Chẳng hạn, trong động tác đưa thức ăn vào miệng, chuyển động của bàn tay là chuyển động thẳng, nhưng nó phụ thuộc vào vận động góc của các phân đoạn của chi trên. Điều này gợi ý mối liên hệ giữa vận động thẳng và vận động góc.
Mối liên hệ giữa dịch chuyển thẳng và dịch chuyển góc
Khi định nghĩa đo lường góc (radian), ta thấy: θ = l / r
Với theta (đơn vị radian) là góc tia của một cung chiều dài s bằng với bán kính của đường tròn. Bằng cách sắp xếp lại phương trình này, chiều dài của cung có thể được tính là: l = r* θ
Như vậy, quãng đường (độ dài cung tròn) = bán kính xoay * dịch chuyển góc
Xét sự thay đổi của góc rất nhỏ; thì chiều dài của cung, có thể xấp xỉ một đường thẳng. Do đó, mối liên hệ giữa dịch chuyển góc và thẳng có thể được viết như sau:
Dịch chuyển thẳng = bán kính xoay * Dịch chuyển góc
Hay d = r* θ
Trong ví dụ ở hình trên, nếu đoạn cẳng tay (khuỷu-cổ tay) dài 0,13 m quay quanh khớp khuỷu với một khoảng cách góc 0,23 radian, khoảng cách thẳng mà cổ tay di chuyển là:
Δs=rΔθ = 0,23(rad)* 0,13(m) =0,03m

Mối liên hệ giữa vận tốc thẳng và vận tốc góc
Mối liên hệ vận tốc thẳng và góc tương tự mối liên hệ dịch chuyển thẳng và góc
Như vậy, vận tốc thẳng ở một điểm đang xoay là tích của khoảng cách từ điểm đó đến trục xoay và vận tốc góc của vật. Vận tốc thẳng tức thời của vật tiếp tuyến với đường đi của vật và được gọi là vận tốc tiếp tuyến hay vT .
Ví dụ, nếu đoạn cẳng tay có chiều dài r = 0,13 m quay quanh với một vận tốc góc 2,4 rad/s, vận tốc của cổ tay là:
vT = rω
vT = 0,3 m * 2,4 rad/s
vT = 0,31 m/s

Mối liên hệ giữa vận tốc góc và thẳng cung cấp thông tin quan trọng với vận động, đặc biệt với người ném một vật. Để tăng vận tốc thẳng của quả bóng, người đá bóng có thể tăng vận tốc góc của các phân đoạn chi dưới hoặc tăng chiều dài của chi bằng cách duỗi khớp, hoặc cả hai.
Mối liên hệ giữa gia tốc thẳng và gia tốc góc
Ở trên ta biết rằng vector vận tốc thẳng có thể được tính từ tích của bán kính và vận tốc góc là tiếp tuyến với đường cong và có thể gọi là vận tốc tiếp tuyến:
vT = rω
Như vậy, mối liên hệ giữa gia tốc tiếp tuyến với gia tốc góc anpha là:
aT = αr
Gia tốc tiếp tuyến, cũng như vận tốc tiếp tuyến, là vector tiếp tuyến với đường cong và vuông góc với đoạn xoay.

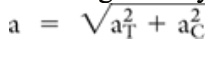
Ngoài gia tốc tiếp tuyến đã trình bày, còn một loại gia tốc khác tạo ra khi xoay một phân đoạn là gia tốc hướng tâm, aC với giá trị là:
aC = ω2*r
Vì v = ω*r, ta có thể viết phương trình trên dưới dạng:

Từ biểu thức này, có thể thấy là gia tốc hướng tâm sẽ tăng nếu vận tốc tiếp tuyến tăng hoặc nếu bán kính xoay giảm. Ví dụ, sự khác nhau giữa đường chạy (tròn) trong nhà và ngoài trời là đường chạy trong nhà nhỏ hơn và có bán kính nhỏ hơn. Nếu vận động viên chạy cố gắng giữ cùng một tốc độ chạy vòng trong nhà như vòng đường chạy ngoài trời, gia tốc hướng tâm sẽ lớn hơn để vận động viên thực hiện vòng chạy. thường thì vận động viên không thể thực hiện vòng chạy cùng vận tốc như ở ngoài trời, do đó thời gian chạy ở các đường chạy trong nhà chậm hơn đường chạy ngoài trời.

Vì gia tốc hướng tâm và gia tốc góc là các thành phần của gia tốc thẳng, chúng phải vuông góc với nhau. Ta có thể dựng được vector gia tốc của những thành phần này. Gia tốc tổng hợp được tính theo công thức Pythagor như sau:












