Nhánh cơ học mô tả các thành phần không gian và thời gian của vận động được gọi là chuyển động học. Mô tả chuyển động học xem xét tư thế, tốc độ và sự thay đổi tốc độ của vật thể mà không xét đến các lực tạo nên vận động. Sự phân tích chuyển động học có thể là định lượng hoặc định tính.
Vận động ở người có thể được phân loại thành vận động tuyến tính/thẳng hoặc vận động góc/xoay. Hầu hết các vận động trong sinh cơ học là sự kết hợp của chuyển động tịnh tiến và chuyển động xoay, tạo nên mẫu vận động chung. Vận động thẳng (hoặc tịnh tiến) là vận động dọc theo một đường thẳng hoặc đường cong và khi mà tất cả các phần của cơ thể di chuyển cùng một hướng với cùng một tốc độ. Vận động góc là vận động quanh một trục (tưởng tượng hoặc có thật) trong đó tất cả các phần cơ thể (hoặc phần cơ thể) di chuyển với cùng một góc trong cùng một thời gian.
Bài viết trình bày các đặc điểm của chuyển động học thẳng.
MỘT SỐ KHÁI NIỆM, THUẬT NGỮ CỦA CHUYỂN ĐỘNG HỌC THẲNG
Vị trí, quãng đường và dịch chuyển (độ dời)
- Vị trí: Vị trí của vật thể trong không gian tương ứng với hệ quy chiếu nào đó. Đơn vị đo chiều dài (m) được sử dụng để đo vị trí của một vật so với trục của hệ quy chiếu.
- Quãng đường (distance): chiều dài mà vận động trải qua (có thể không phải là đường thẳng).
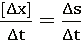
- Độ dời: khoảng cách ngắn nhất giữa vị trí này và vị trí khác khi vận động.
Ta có: Độ dời = vị trí (tọa độ) lúc cuối – vị trí lúc đầu
Hay : Δs=scuối-sđầu
Sự dịch chuyển (Displacement) được định nghĩa gồm cả độ dời và hướng di chuyển. Đó là một đại lượng vector.
Tốc độ, Vận tốc và Gia tốc
- Tốc độ (speed): cho biết vật di chuyển nhanh hay chậm, được tính bằng quãng đường đi được chia thời gian (s=l/t). Tốc độ là đại lượng vô hướng. Đơn vị đo lường là m/s, km/h…
Vận tốc (trung bình): Được định nghĩa là tốc độ thay đổi vị trí theo thời gian (V=d/t). Vận tốc là đại lượng vector (có hướng và độ lớn). Đơn vị là m/s hay m.s-1
Ta có:

- Vận tốc tức thời:
Đôi khi người ta cần biết vận tốc tại một thời điểm nào đó. Đại lượng này được gọi là vận tốc tức thời.
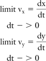
Vận tốc tức thời tại một thời điểm t đặc trưng cho chiều và độ nhanh chậm của chuyển động tại thời điểm đó. Vectơ vận tốc tức thời trong chuyển động thẳng nằm trên đường thẳng quỹ đạo. Giá trị đại số của vận tốc tức thời trên trục Ox gọi là vận tốc tức thời vx với vx= dx/dt hoặc lim vx khi dt tiến tới zero. Tương tự như vậy, giá trị đại số của vận tốc tức thời trên trục Oy là vy = dy/dt hoặc lim vy khi dt tiến tới zero.
Trên một đồ thị tọa độ theo thời gian, độ dốc và hướng của độ dốc chứng tỏ là vận tốc tăng, giảm hay bằng không
Nhận xét: Khi dt rất nhỏ thì độ lớn của độ dời dx bằng quãng đường đi được, ta có:
(khi Δt rất nhỏ). Tức độ lớn của vận tốc tức thời bằng vận tốc tức thời.
- Gia tốc:
Gia tốc (ký hiệu a) là đại lượng vật lý đặc trưng cho sự biến đổi nhanh chậm của vận tốc. Gia tốc là một đại lượng có hướng. Vectơ gia tốc có cùng phương với quỹ đạo, có giá trị đại số là:
Hay
Giá trị đại số xác định độ lớn và chiều của vectơ gia tốc trung bình.
Đơn vị của gia tốc là m/giây bình phương m/s2 or m.s-2.
Gia tốc dương là khi vận tốc tăng lên trong một thời gian. Gia tốc âm là khi vận tốc giảm trong một thời gian.
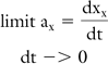
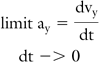
- Gia tốc tức thời
Bởi vì gia tốc biểu diễn sự thay đổi vận tốc theo thời gian, khái niệm vận tốc tức thời cũng được áp dụng cho gia tốc. Gia tốc tức thời có thể được định nghĩa giống như vận tốc tức thời, nghĩa là gia tốc tức thời là độ dốc của đường biểu diễn vận tốc theo thời gian hoặc là một giới hạn (lim):
với gia tốc ngang và
với gia tốc dọc. (dv là sự thay đổi của vận tốc).
Trên một đồ thị vận tốc-thời gian, độ dốc và hướng của độ dốc chứng tỏ là gia tốc dương, âm hay bằng không.
VÍ DỤ MINH HỌA
Bảng sau trình bày các dữ liệu của một vận động viên chạy 100 m (được chia thành từng quãng 10 m với thời gian tương ứng).
| Quãng đường (m) | Thời gian tích lũy (s) | Thời gian (s) | Vận tốc trung bình (m/s) mỗi quãng 10m |
| 10 | 1,66 | 1,66 | 6,03 |
| 20 | 2,84 | 1,18 | 8,47 |
| 30 | 3,88 | 1,04 | 9,62 |
| 40 | 5,00 | 1,12 | 8,92 |
| 50 | 5,95 | 0,95 | 10,50 |
| 60 | 6,97 | 1,02 | 9,80 |
| 70 | 7,93 | 0,96 | 10,40 |
| 80 | 8,97 | 1,04 | 9,62 |
| 90 | 10,07 | 1,10 | 9,09 |
| 100 | 11,09 | 1,02 | 9,30 |
Cách tính vận tốc trung bình từng quãng:
- Vận tốc trung bình 10 m đầu tiên:
- v(0-10m) = 10m/1,66s = 6,03 m/s
- vận tốc trung bình giữa 10-20m:
- v (10-20m) = 10 m/1,18s = 8,47 m/s
- Vận tốc trung bình 0-100 m
- v (0-100m) = 100/11,09 = 9,01 m/s
Phân tích kết quả vận tốc:
- Trong giây đầu tiên của vận động (5 m), vận tốc tăng nhanh
- Trong 4,75 giây tiếp theo, vận tốc tăng tới giá trị tối đa khoảng 10m/s (ở điểm 60m)
- Vận tốc tối đa (quanh 10m/s) được duy trì khoảng 1 giây đến 70m
- Vận tốc giảm đều đặn từ 10m/s đến 9,2 m/s ở 30 m cuối cùng.
Cách tính gia tốc:
- Gia tốc giữa giây thứ 0 và 7
- Gia tốc giữa giây thứ 0 và 11
- Gia tốc giữa giây thứ 7 và 11
- Sự thay đổi vị trí, vận tốc, gia tốc theo thời gian được biểu diễn ở đồ thị 1.
Đồ thị 1: Đồ thị biểu diễn dịch chuyển/thời gian (A), vận tốc/thời gian (B) và gia tốc/thời gian (C)
- Quan sát các đồ thị này, có thể thấy rằng vận tốc của vận động viên gia tăng từ lúc xuất phát và đạt tối đa khoảng vị trí 60m của đường đua (hoặc khoảng 7 giây). Ở điểm này vận động viên giữ tốc độ tối đa trong khoảng 1 giây đến 70 m rồi sau đó vận tốc giảm cho đến 100 m.
- Điều này được khẳng định trên đồ thị gia tốc/thời gian với giá trị dương (chứng tỏ tăng vận tốc) cho đến 60 m. Mặc dầu có vẻ là đồ thị gia tốc/thời gian đang giảm trong đoạn này, các giá trị vẫn dương và do đó chứng tỏ rằng vận động viên đang tăng tốc. Đồ thị gia tốc/thời gian sau đó đi qua điểm zero (ở điểm này gia tốc bằng zero), vì vận động viên có vận tốc không đổi trong khoảng thời gian ngắn 1 giây. Sau đó, đồ thị gia tốc/thời gian chuyển sang âm, chứng tỏ có một sự giảm tốc hoặc chạy chậm dần (từ 70-100m).
- Đặc tính tăng tốc đến 1 điểm quanh 60 m, giữ tốc độ này trong khoảng 1 giây và sau đó chậm lại khi về đích 100 m là điển hình và thấy ở nhiều mức thi đấu khác nhau (nghiệp dư đến quốc tế) của chạy 100m. Có thể thấy rằng các phân tích sinh cơ học đem lại nhiều thông tin có ý nghĩa quan trọng trong huấn luyện và thi đấu.





















