Trường hợp
Một bệnh nhân nam 34 tuổi được nhập vào khoa phục hồi chức năng với chẩn đoán hội chứng Guillain – Barre. Bệnh sử khởi phát đột ngột trước đó 5 tuần với tình trạng liệt mềm hướng lên một tuần sau khi bị bệnh tiêu chảy. Tình trạng liệt ảnh hưởng đến cả các cơ hô hấp và các cơ hành não và bệnh nhân đã phải thở máy trong 16 ngày. Lúc nhập viện, bệnh nhân chỉ còn được tiêm heparin trọng lượng phân tử thấp (Enoxaparin, 40 mg) để dự phòng huyết khối.
Mặc dù được điều trị vật lý trị liệu tích cực trong bốn tháng, sự phục hồi thể chất của bệnh nhân bị giới hạn. Bệnh nhân hồi phục các chức năng chi trên và cơ vòng nhưng vẫn phụ thuộc xe lăn. Anh có thể dịch chuyển độc lập nhưng chỉ có thể đứng và đi được vài bước nếu được kỹ thuật viên trợ giúp nâng. Trên lâm sàng, bệnh nhân bị yếu đáng kể các cơ của chi dưới, cơ lực là 3/5 ở hầu hết các nhóm cơ, với tình trạng liệt mềm. Bệnh nhân cũng bị thất điều cảm giác đáng kể.
Trước khi xuất viện, bệnh nhân hỏi về việc tiêm Enoxaparin. Anh muốn biết sẽ tiếp tục sử dụng thuốc này trong bao lâu.
XEM THÊM CÁC THANG ĐO ĐÁNH GIÁ NGUY CƠ DVT:
Bình luận
Bất động là một yếu tố nguy cơ chính của huyết khối tĩnh mạch và các bệnh lý thần kinh với yếu liệt chi chiếm 7% trong tổng số các trường hợp này. Y văn đã cho thấy rõ giá trị của kháng đông dự phòng trong việc giảm nguy cơ huyết khối tĩnh mạch ở bệnh nhân nhập viện để điều trị ngoại khoa và nội khoa trong các tình trạng như gãy cổ xương đùi, suy tim hoặc suy hô hấp. Thời gian dùng kháng đông thường là một hoặc hai tuần để phù hợp với thời gian nằm viện và bất động thông thường của những bệnh nhân này.
Những bệnh nhân bất động vì các khiếm khuyết thần kinh có một vấn đề đặc biệt là họ có xu hướng bất động trong thời gian kéo dài và một số đáng kể bệnh nhân không bao giờ lấy lại được khả năng vận động độc lập. Trong các tình trạng dẫn đến suy giảm khả năng vận động cấp tính (ví dụ như chấn thương tủy sống cấp tính và hội chứng Guillain – Barre), dự phòng huyết khối được khuyến cáo thực hiện vì các biến chứng tắc mạch huyết khối rất phổ biến. Thời gian điều trị kháng đông không rạch ròi vì hầu hết những bệnh nhân này nằm bất động trong một thời gian dài. Các hướng dẫn duy nhất rõ ràng liên quan đến chấn thương tủy sống cấp tính, vì nhóm bệnh nhân này đã được nghiên cứu rộng rãi. Tỷ lệ thuyên tắc huyết khối tĩnh mạch trong chấn thương tủy sống giảm đáng kể sau bốn tháng đầu tiên xuống mức tương đương với tỷ lệ của dân số chung. Do đó, những bệnh nhân bị chấn thương tủy sống cấp tính nên được điều trị dự phòng huyết khối chỉ trong bốn tháng ngay cả khi họ bất động sau khoảng thời gian đó.
Câu hỏi liệu một nguyên tắc chung cho bất kỳ bệnh nhân không vận động do khiếm khuyết thần kinh hay không có thể dựa trên các quan sát trong giai đoạn mạn tính của tổn thương tủy sống phụ thuộc vào cơ chế làm giảm nguy cơ huyết khối tĩnh mạch ở nhóm này khi giai đoạn cấp tính đã qua. Hai cơ chế chính (làm giảm nguy cơ huyết khối, ND) đã được đề xuất: teo mạch máu và co cứng cơ.
Khó khăn đối với bệnh nhân được mô tả trong trường hợp trên là anh ta sẽ không bao giờ bị co cứng cơ vì hội chứng Guillain – Barre là một bệnh lý thần kinh ngoại biên hướng lên. Tuy nhiên, những thay đổi ở mạch máu đơn độc có thể đem lại sự bảo vệ đầy đủ và lý giải cho việc ngừng các biện pháp dự phòng khi những thay đổi này được thiết lập.
Các thay đổi mạch máu ở các chi dưới bị liệt đã được ghi nhận đầy đủ. Có sự teo toàn thể của các động mạch và giảm lưu lượng máu đến các chi dưới bị liệt, thể hiện sự thích nghi với nhu cầu oxy thấp hơn. Quá trình này thường được thiết lập trong vòng sáu tuần kể từ khi bắt đầu bị liệt chi dưới và dẫn đến giảm lưu lượng máu trong các tĩnh mạch bắp chân, với giảm đi về kích thước và khả năng giãn nở của tĩnh mạch. Quá trình này sau đó sẽ làm giảm sự ứ đọng và kết tụ của máu thường xảy ra sau khi bị liệt đột ngột và là yếu tố chính cho sự phát triển của huyết khối tĩnh mạch.
Có bằng chứng về nguy cơ thuyên tắc huyết khối tĩnh mạch thấp ở những bệnh nhân bất động trong thời gian dài cho dù liệt chi dưới của họ là liệt cứng hay không. Ví dụ, các tình trạng khuyết tật nặng không liên quan đến các bệnh lý thần kinh như viêm khớp dạng thấp nặng dường như không dễ bị huyết khối tĩnh mạch mặc dù gây ra bất động. Bệnh nhân bị đột quỵ có nguy cơ huyết khối tĩnh mạch cao nhất trong hai đến bốn tuần đầu tiên mặc dù tình trạng co cứng chỉ xảy ra ở một số bệnh nhân sau đột quỵ.
Huyết khối tĩnh mạch là một tình trạng nhiều nguyên nhân với các yếu tố nguy cơ khác nhau, chẳng hạn như tuổi tác, tình trạng bất động và các yếu tố di truyền. Tất cả đều hoạt động để giảm ngưỡng hình thành huyết khối tĩnh mạch sâu của bệnh nhân. Qua các y văn, điều rõ ràng là giai đoạn bất động cấp tính là nguy hiểm nhất. Thật đơn giản khi cho rằng co cứng cơ hoặc thay đổi mạch máu là những yếu tố duy nhất làm giảm nguy cơ huyết khối trong dài hạn. Ở những bệnh nhân bất động kéo dài, một số yếu tố tác động lẫn nhau để làm tăng nguy cơ trở lại. Những yếu tố này nên được xem xét trong bối cảnh lâm sàng để hướng dẫn các quyết định tiếp tục hoặc dừng bất kỳ chiến lược dự phòng huyết khối nào như sử dụng thuốc chống đông.
Tuy nhiên, trong trường hợp không có bất kỳ hướng dẫn nào về thời gian tối ưu của dự phòng với thuốc chống đông, có thể suy luận rằng có thể áp dụng các hướng dẫn dự phòng huyết khối được sử dụng trong tổn thương cột sống cho các tình trạng thần kinh khác. Điều này gợi ý rằng có thể an toàn nếu ngừng điều trị dự phòng huyết khối bốn tháng sau khi khởi phát tình trạng bất động cấp tính ở một bệnh nhân trẻ tuổi không có thêm yếu tố nguy cơ nào đối với thuyên tắc huyết khối tĩnh mạch ngoài tình trạng bất động. Bệnh nhân trong trường hợp này nên được tư vấn rằng nguy cơ thuyên tắc huyết khối tĩnh mạch sẽ không hoàn toàn bị loại bỏ và cần cân nhắc quan điểm của chính bệnh nhân về xử trí.
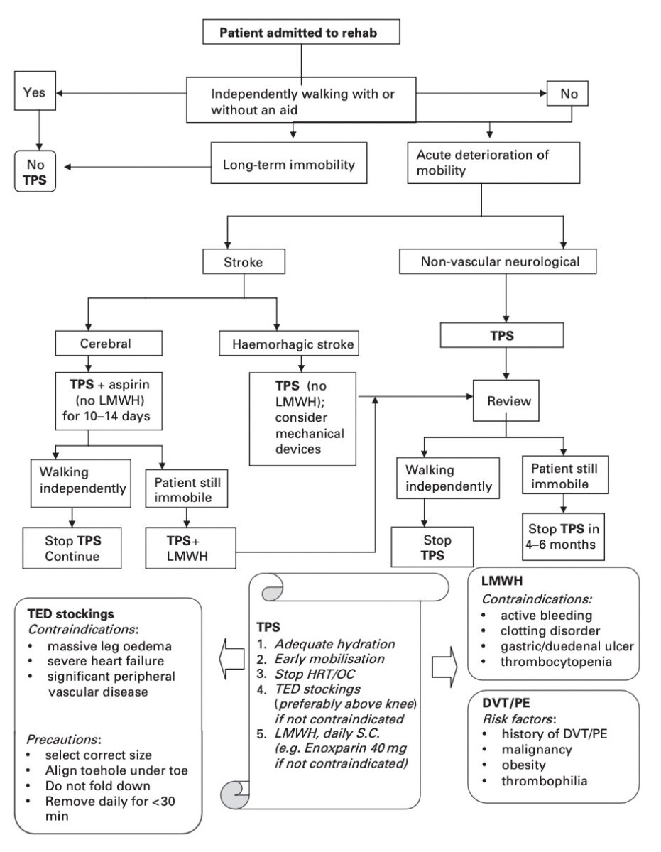
Hình sau là hướng dẫn dự phòng huyết khối cho bệnh nhân bị khiếm khuyết thần kinh của Mạng lưới phục hồi chức năng thần kinh Greater Manchester.

Hình. Hướng dẫn về chiến lược dự phòng huyết khối (TPS, thromboprophylaxis strategy) từ Mạng lưới Phục hồi chức năng Thần kinh Greater Manchester. TED, ngăn chặn huyết khối tắc mạch; LMWH, heparin trọng lượng phân tử thấp; DVT, huyết khối tĩnh mạch sâu; PE, thuyên tắc phổi; s.c., tiêm dưới da; HRT / OC, liệu pháp thay thế hormone / thuốc tránh thai. (Từ Gaber, T. (2006). Disabil Renaissance 28, 1413–1416.
Ghi chú:
Chiến lược dự phòng huyết khối ở hình vẽ:
- Bù dịch đầy đủ
- Vận động sớm
- Dừng liệu pháp thay thế hormone / thuốc tránh thai.
- Đeo tất phòng huyết khối (tốt hơn là trên gối)
- Heparin trọng lượng phân tử thấp (LMWH), tiêm dưới da, hàng ngày (như Enoxparin, 40 mg nêu không có chống chỉ định)
Chống chỉ định đeo tất phòng huyết khối
- Phù chân nhiều
- Suy tim nặng
- Bệnh lý mạch máu ngoại biên
Chống chỉ định LMWH
- Đang chảy máu
- Rối loạn đông máu
- Loét dạ dày/tá tràng
- Giảm tiểu cầu
Sơ đồ cho thấy ngưng áp dụng các chiến lược phòng huyết khối khi bệnh nhân có thể đi lại độc lập (với dụng cụ trợ giúp hoặc không).
XEM THÊM: HUYẾT KHỐI TĨNH MẠCH SÂU
HỘI CHỨNG GUILLAIN- BARRE. BỆNH LÝ VÀ PHỤC HỒI
Further reading
- Consensus Conference on Deep Venous Thrombosis in Spinal Cord Injury (1999). Summary and recommendations. Chest 102(suppl), 6335.
- Gaber, T. A. (2005). Significant reduction of the risk of venous thromboembolism in all long term immobile patients a few months after onset of immobility. Med Hypoth 64, 1173–1176.
- Turpie, A. G., Chin, B. S., Lip, G. Y. l. (2002). ABC of antithrombotic therapy. Venous thromboembolism: pathophysiology, clinical features and prevention. BMJ 325, 887–890.





